공무원 봉급표 2024: 인사혁신처 발표
공무원 봉급표 2024: 인사혁신처 발표에 따른 상세 분석
매년 연초가 되면 인사혁신처에서는 공무원 봉급표를 발표합니다. 올해도 1월 초에 공무원 봉급표 2024가 발표됐습니다. 올해 공무원 봉급 인상률은 지난 몇 년간의 추세를 넘어서는 것으로, 특히 코로나19로 인한 경제적 어려움을 감안해 전년 대비 2.5%의 인상률을 기록했습니다.
이러한 변화는 공무원들의 생활 안정성 강화와 직업 만족도 제고에 긍정적인 영향을 미칠 것으로 기대됩니다. 본문에서는 '공무원 봉급표 2024'와 '2024년 공무원 봉급 인상률'에 대한 상세 내용과 함께 신입 공무원의 기준 봉급을 살펴보겠습니다.

2024 공무원 봉급 인상률
총괄
- 인상률: 2.5%
- 배경: 코로나19로 인한 경제적 어려움 고려
- 효과: 공무원의 생활 안정성 및 직업 만족도 향상
9급 공무원 기준 월 지급액
- 기준 월 지급액: 180만 원 초반
- 수당 포함: 모든 수당 및 부수적인 급여 요소 증가

2024년 신입 공무원 봉급표 상세
2024년에 새로 임용되는 공무원의 봉급도 인상되었습니다. 특히, 경력이 없는 신입 공무원들에 대한 구체적인 봉급 정보는 많은 예비 공무원들에게 중요한 정보가 될 것입니다.
신입 공무원 봉급표 2024
| 호봉 | 직급 | 봉급(원) | 비고 |
| 1 | 9급 공무원 | 1,815,070 | 수당 별도 |
| 3 | 9급 군필 공무원 | 1,867,038 | 수당 포함 |
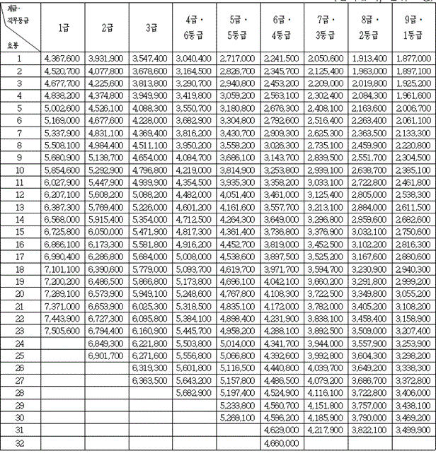
인사혁신처 2024 공무원 봉급표

경찰 및 소방 공무원 봉급표 2024와 계급
공무원 중에서도 특별한 역할을 하는 경찰공무원과 소방공무원의 계급은 각각 11개로 구분됩니다. 이들의 업무 특성과 중요성을 반영한 봉급 구조를 살펴보겠습니다.
경찰공무원 계급
- 계급: 순경, 경장, 경사, 경위, 경감, 경정, 총경, 경무관, 치안감, 치안정감, 치안총감(경찰청장)
- 특이사항: 경찰대학교 졸업 시 바로 경위 계급부터 시작
- 경위 1호봉 봉급: 매월 2,261,900원, 연봉 약 2,700만 원
소방공무원 계급
- 계급: 소방사, 소방교, 소방장, 소방위, 소방경, 소방령, 소방정, 소방준감, 소방감, 소방정감, 소방청감
- 가장 낮은 계급 봉급: 소방사 및 순경 1호봉 매월 1,877,000원, 연봉 약 2,250만 원
경찰 및 소방 공무원 봉급표 2024 봉급 상세
2024년에 새로 임용되는 공무원의 봉급도 인상되었습니다. 특히, 경력이 없는 신입 공무원들에 대한 구체적인 봉급 정보는 많은 예비 공무원들에게 중요한 정보가 될 것입니다.

2024 신입 경찰 소방 공무원 봉급표
| 호봉 | 직급 | 봉급(원) | 비고 |
| 1 | 9급 상당 경찰 및 소방 공무원 | 1,877,000 | 수당 별도 |
| 3 | 9급 상당 군필 경찰 및 소방 공무원 | 1,867,038 | 수당 포함 |


공안직 공무원 봉급표 2024 상세 분석
공안직 공무원은 우리 사회의 안녕과 질서를 유지하는 중추적 역할을 합니다. 이들은 교정직, 보호직, 검찰직, 마약수사직, 출입국관리직, 철도경찰직 등 다양한 분야에서 활동하며, 사회의 기본적인 안정과 법질서 유지에 필수적인 역할을 수행합니다.
2024년 공안직 공무원 봉급 개요
2024년도에는 공안직 공무원의 봉급이 전반적으로 개선되었습니다. 특히 주목할 만한 점은 5급 이하 공무원의 보수가 2.5% 인상되었고, 특히 9급 공무원 초임 1호봉의 경우에는 6%의 인상률이 적용되어 봉급이 상승했다는 것입니다.

- 9급 1호봉: 2023년 대비 6% 인상, 1,770,800원에서 1,877,000원으로 조정
- 9급 2호봉 봉급: 1,903,000원
- 9급 3호봉 봉급: 1,940,800원
- 5호봉 이상: 월 봉급 2,054,700원, 200만 원 초과
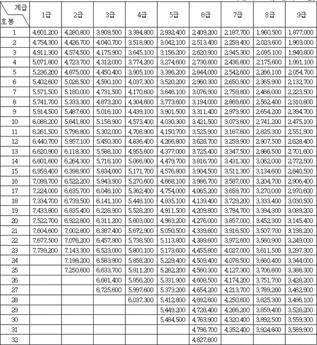
2024년 공안직 공무원 봉급표는 다음과 같습니다:
| 호봉 | 계급 | 봉급(원) |
| 1급 1호봉 | - | 4,601,200 |
| 9급 1호봉 | - | 1,877,000 |
| ... | ... | ... |
이러한 세분화된 봉급표는 공안직 공무원들이 자신의 경력과 직급에 맞는 보수를 확인할 수 있도록 제공됩니다.
봉급 인상의 의미와 전망
이번 봉급 인상은 공무원들에게 단순히 금전적 이익만을 넘어서, 직업에 대한 만족도와 안정성을 높이는 중요한 계기가 됩니다. 또한, 공무원이 되고자 하는 많은 예비 공무원들에게도 긍정적인 영향을 미칠 것으로 예상됩니다. 이러한 변화는 공무원 시험 준비에 있어서도 새로운 동기 부여가 될 수 있으며, 장기적인 경력 계획을 세우는 데 있어서 중요한 기준점이 될 것입니다.
결론
2024년 공무원 봉급 인상은 공무원들의 경제적 안정성과 직업 만족도를 향상하는 중요한 변화입니다. 특히, 신입 공무원에 대한 구체적인 봉급 정보는 예비 공무원들에게 중요한 자료가 될 것입니다. 이러한 변화는 앞으로도 공무원직에 대한 관심과 직업으로서의 가치를 높이는 데 기여할 것으로 보입니다.
댓글
댓글 쓰기