교도관 계급 소장,부장,과장, 계장 교정직 공무원 직급. 교도소 crpt 체계. 2021년 공안직 공무원 봉급표
안녕하세요. 요새 날이 좀 선선해졌죠.
저는 군대 있을 때 영창을 다녀온 적이 있는데요.
요즘처럼 날이 선선해졌을 때라 영창 안은 춥게 느껴진 기억이 떠오르곤 합니다.
영창과 비슷한 게 교도소죠.
다행히 전 아직까지 교도소는 가 본 적이 없습니다.
슬기로운 감빵생활을 보다 보면 교도관 계급으로 소장, 부장, 과장, 계장 등이 나오죠?
하지만 부장, 과장, 계장, 서부 교도소 소장 등은 계급이 아니라 직급입니다.
교도소 계급은 아래와 같습니다.
슬기로운 감빵생활 교도관 직책이 부장, 계장, 과장 순으로 높은데...
왜 부장이 과장보다 높지?
정경호 이준호 부장은 교사 계급으로 일제강점기에 교도 부장이라 부르던 습성 탓에 부장으로 불림.
교정관인 나과장은 무궁화 3개.
4급 공무원인 교정 감이 교도소장인 교도소의 과장 직책을 맡음.
그리고 슬빵에 심심찮게 등장하는 crpt라는 게 있죠?

교도소 crpt는 일종의 5분 대기조 기동타격대 헌병 같은 개념을 한대 모아놓은 교도소 직책? 부서 정도라고 생각하면 됩니다.
무술 유단자 등으로 구성되어서 교도소 내의 질서 유지, 소동 진압 등에 개입한다고 합니다.
별명은 교도소 까마귀라고도 하네요.
슬빵이 재미있어서 디씨인사이드에 연재되었던 교도소 일기를 보다 보니 재밌더군요.
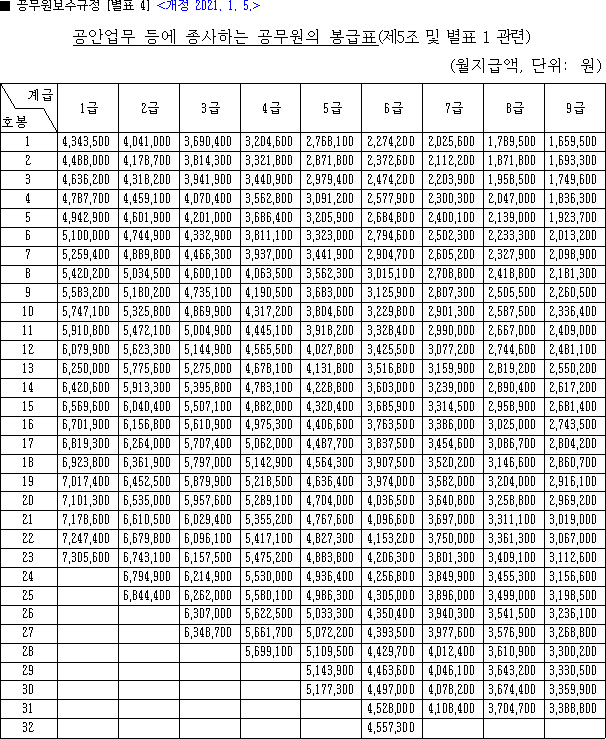
교도관 월급은 아마 공안직 공무원 월급일 것입니다.
2021년 공안직 공무원 봉급표는 다음과 같아요.

댓글
댓글 쓰기