2021년 소방공무원 봉급표 2021 경찰공무원 봉급표
안녕하세요.
2021년도에 공무원 시험을 준비하시는 수험생분들이 가장 궁금해할 정보를 가지고 왔습니다.
바로, 2021년도 #공무원 연봉 정보입니다.
2021년도에는 #공무원 봉급이 0.9% 인상됐습니다.
공무원, 경찰공무원, 소방공무원들의 2021년도 연봉은 어떻게 되는지 지금 바로 확인을 해보도록 하겠습니다.
#일반직 공무원 연봉
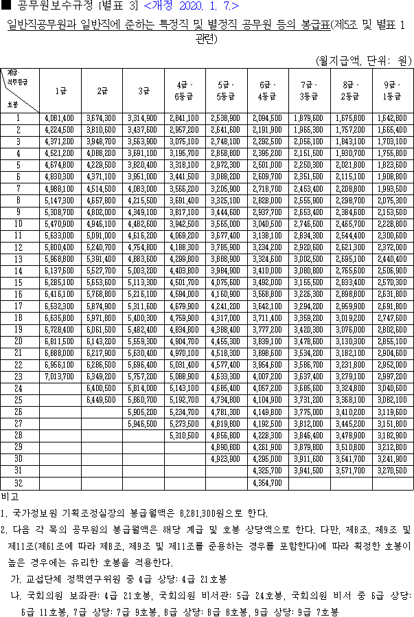
가장 먼저 알아볼 정보는 일반직 공무원과 일반직에 준하는 공무원의 2021년도 공무원 급여입니다.
2021년도에는 전년보다 공무원 급여가 0.9% 정도 상승했니다.




#공무원 연봉 0.9% 상승한 이유는 경제성장률, 물가상승률 및 민간 보수 수준, 공무원 사기진작 필요성 등을 종합적으로 고려하여 국회 예산 심의를 거쳐 최종 확정되었습니다.
라고 매년 우기지만, 2021년에는 보다 근본적인 문제, 재정집행 과다로 인한 예산 부족으로 공무원 급여 인상을 최대한 억제했기 때문에 역대 최저 인상률이 나왔습니다.
2018년에는 #9급 공무원 1호봉 의 경우 최저임금에 미달이 되는 것으로 이슈가 되었는데요.
9급 공무원은 위에 나온 표에 직급보조비 12만 5천 원을 더하면 최저임금에 준하는 157만 3천8백 원이 됩니다.
상세 연봉정보는 위에 첨부된 파일을 확인해주세요!

위의 표는 2021년도 경찰공무원 봉급표 2021 소방공무원 봉급표입니다.
2021 경찰대학생 1학년 월급이 근 70만 원이나 되는군요.
소방간부후보생 및 경찰간부후보생은 임용예정 계급의 1호봉 월급의 80%가량을 지급받습니다.
이들이 시보는 아닙니다.


아래의 2018년도와 비교해보면 경찰/소방공무원 연봉도 상승하였음을 알 수 있습니다.
2018년 경찰공무원 봉급표 / 소방공무원 봉급표 2018

#경찰공무원 , #소방공무원 #연봉 은 동일하지만
몇 년 전까지는 경찰공무원은 국가직 공무원 ↔ 소방공무원은 지방직 공무원이라는 차이가 있었습니다만, 2020년에 소방공무원도 국가공무원으로 전환됐습니다.
경찰공무원/소방공무원 상세 급여도 위의 표를 참고해주세요! :)
지금까지 2021년도 공무원, 소방공무원, 경찰공무원 연봉 표를 알아보았습니다.
아, 참고적으로 공무원의 경우 연봉 외 수당이 챙겨지기 때문에 위의 표와 실수령액이 달라질 수 있습니다!
해당 내용 참고하시길 바랍니다! ^^
댓글
댓글 쓰기