공무원 성과상여금 지급기준 2021 공무원 봉급표 (교사, 교원 성과급 제외 내용)
안녕하세요.
요즘 아침 저녁 날씨가 꽤 춥네요.
오늘은 공무원 성과상여금에 대해서 알아 보겠습니다.
대체로 공무원에 대한 처우는 국가공무원이나 지방공무원이나 비슷하니까 성과상여금 업무 처리기준도 대체로 비슷한 수준일 거예요.
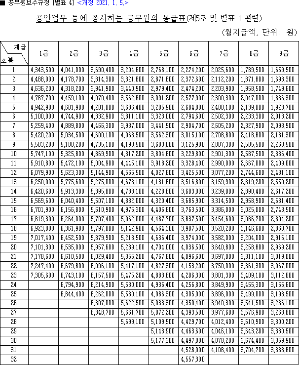
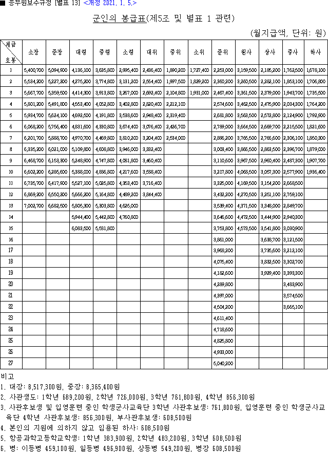
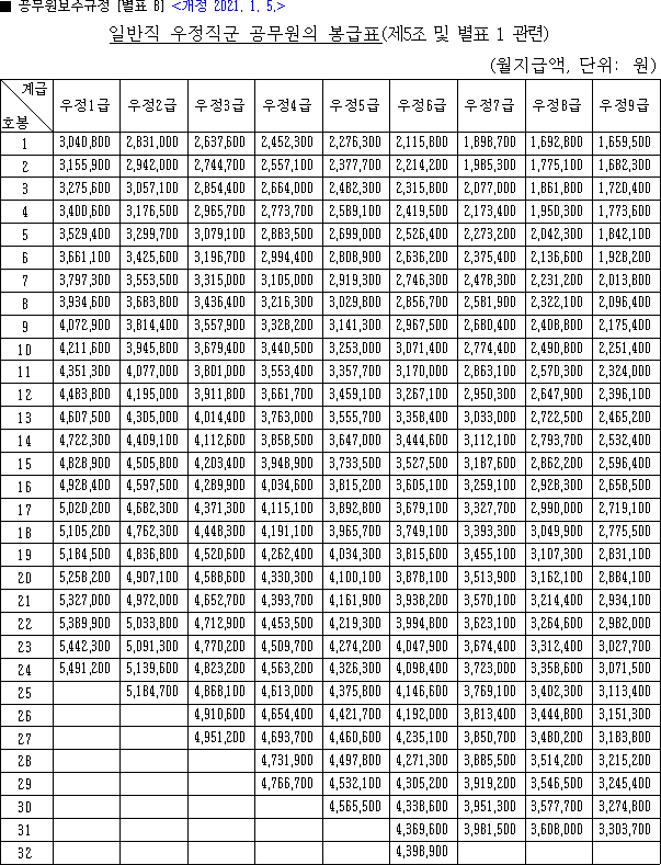
2021년도 성과상여금 지급기준액표는 다음과 같습니다.

2016년 1월 12일에 개정되었고, 아마 2021년에도 별로 달라지지 않을 내용입니다.
위의 표는 그냥 단지 공무원 성과상여금 지급기준을 정하는 표일 뿐이니까요.
공무원 성과상여금 지급액은 위의 기준호봉으로 전년도 2021년 공무원 봉급표상에서 해당 호봉의 월 봉급액이 해당 공무원 계급의 성과급의 기준이 됩니다.
2021년 공무원 봉급표에 위의 기준호봉을 찾으면 됩니다.






참고로 교사성과급은 이 기준과 달리 교원성과급 관련해서 교육부에서 5~6월 중에 따로 발표하게 됩니다.
보통 교사성과급 지급시기는 7~8월이 됩니다.
2021년 교사 성과급에서는 학교성과급은 없습니다. 2018년엔가 폐지됐죠.
이 기준에 따라서 다시 평가 받은 등급에 따라 성과급이 지급됩니다.

바로 위의 지급등급표에 따라 S등급이면 성과상여금 지급기준액표에 상당하는 월급의 (2018년 공무원 월급기준) 172.5%를 성과급으로 지급합니다.
A등급은 지급기준 월급의 125%를 지급 받게 되죠.
B등급은 85퍼센트입니다.
지방공무원 수당 등에 관한 규정 제 6조의 2의 규정에 의하여 지방공무원들에게 지급되는 성과상여금의 지급기준, 지급절차 등에 관한 구체적 사항들을 기술해 놓은 자료입니다.
이 자료에서 "영"이라고 규정된 것은 "지방공무원 수당 등에 관한 규정" 제 6조의 2를 "영"이라고 칭함.
이 처리 지침의 적용은 지방공무원 중에서 일반직공무원(임기직 제외),소방공무원,교육공무원 중 교육감 소속의 교육전문직원과 별정직공무원(지방공무원보수규정 별표 11 제3호 해당자 제외) 에 한합니다.
대체로 별정직은 정무직이라든지, 동장,면장,읍장 같은 공무원들이 대표적인 지방공무원이랄 수 있죠. 정무직은 제외된답니다.
댓글
댓글 쓰기