2021년도 공무원 봉급표 및 수당 알아보자!
2021년도 공무원 봉급표 및 수당 알아보자!
공무원 시험을 준비하는 분들은 모두 저마다의 이유가 있습니다.
안정된 직장이라는 점, 정년이 보장된다는 점 또는 국가를 위해 일을 한다는 자부심 등등 다양한 이유들로 많은 분들이 공무원 시험을 준비하고 있습니다.
어떤 이유가 되었든지 내가 공무원이 되면 어느 정도의 연봉을 받게 되는지 수당 등은 어떻게 되는지는 누구에게나 중요한 문제입니다.
물론 모든 것을 연봉과 수당이라는 돈의 원리로만 공무원을 이야기할 수는 없겠지만, 그래도 알아두면 좋은 정보인 것은 확실합니다.
공무원 연봉 및 수당은 직급에 따라 하는 업무에 따라 다소 차이가 있어 일괄적으로 이야기는 할 수 없지만 대략적으로는 확인할 수 있습니다.
그럼 지금부터 인사혁신처2021 공무원 봉급표 및 수당에 대해서 알아보도록 하겠습니다.

9급 공무원 시험에 합격하여 일을 하게 되면, 9급 1호봉의 월급을 받게 됩니다.
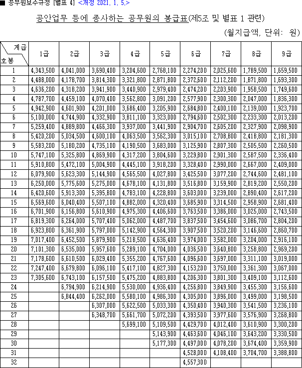
1월 5일에 개정된 2021년 봉급표가 나왔습니다.
9급 1호봉 월급은 작년보다 겨우 0.9% 이상 인상이 되어 기본 월급 167만 원가량 됩니다.
물론 이 월급은 일반 공무원일 경우이고 특수공무원인 경찰이나 소방공무원은 위험수당 및 생명수당이 포함되어 일반 공무원보다는 다소 높습니다.

2021년 공안직 공무원 봉급표

2021 경찰 소방공무원 호봉표
원래는 기본급도 높았어야 하는데, 2018년 이후 말단 공무원의 급여가 소방, 경찰, 공안직 공무원이나 일반 행정직 공무원이나 차이가 없어졌습니다.
2021 교사 호봉표를 보면 1호봉이 167만 원이라 일반 공무원과 별 차이가 없다고 여겨질 수 있겠지만...
사실 정교사 2급 자격증을 소지한 일반 교사들만 하더라도 임용과 동시에 8호봉부터 시작하기 때문에 초봉이 200만 원이 넘게 시작됩니다.

이렇게 금액으로 산정해 보니 상대적으로 연봉이 조금 낮아 보입니다.
하지만 수당 26종과 실비변상 등 4종을 더하면 상당히 월급이 올라갑니다.

대표적으로는 가족수당을 보면 배우자 월 4만 원, 기타 부양가족 월 2만 원 4인까지 적용되며, 자녀의 경우 첫째 월 2만 원, 둘째 월 6만 원, 셋째 이후 월 10만 원이 지급됩니다.
명절휴가비 경우 월 봉금액의 60%로 설날과 추석에 받게 됩니다.
이 외에도 연가보상비, 상여수당, 초과근무수당 등이 있습니다.
즉 공무원의 기본 월급은 일반 기업보다 낮은 편에 속하지만 수당 및 각종 혜택 등을 더하게 되면 적다고만 생각할 수 없는 금액입니다.
사실 공무원이 되면 봉급도 중요하지만, 노후를 위한 연금 또한 궁금해하실 겁니다.
공무원 연금의 경우 10년 이상 성실히 근무하고 퇴직하거나, 공무상 질병, 부상으로 퇴직 또는 사망할 때 연금 또는 일시금이 지급됩니다.
공무원이 된 후 3~4년만 일한다고 연금을 받을 수 있는 것이 아니라 10년 이상 일을 해야 한다는 사실은 명심해야겠습니다.
댓글
댓글 쓰기